Снижение ИС с возрастом – есть ли данные об этом ?
-
Есть ли сведения о том, что снижение ИС кроме всего прочего является и возрастным ?
Существуют ли данные или опыт и наблюдение инфекционистов по этому вопросу ?Коротко из моего анамнеза.
Мне 59 лет. ВИЧ+ выявлен в 2011 году. Первые показатели ИС 352 ВН 192000. Начало терапии - сразу. Первая схема Эфавиренз-Диданозин-Ламивудин. Нагрузка сбита до но за поогода. ИС в этот момент поднялась до 570.
Последние три года неуклонно снижается ИС. В апреле было 301, в сентябре 254. -
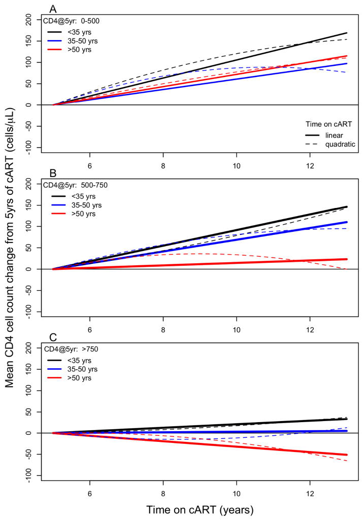
Wright ST, Petoumenos K, Boyd M, Carr A, Downing S, O’Connor CC, Grotowski M, Law MG; Australian HIV Observational Database study group. Ageing and long-term CD4 cell count trends in HIV-positive patients with 5 years or more combination antiretroviral therapy experience. HIV Med. 2013 Apr;14(4):208-16. PMID: 23036045.

A, B, С – исходная ситуация после 5 лет терапии, и сценарии для трех групп, где CD4 до 500, 500-750, более 750.
Ну, или вот так:

Т.е. разная динамика, но падения мы такого не ждем. Потому, смотрим %, перепроверяем лабу, смотрим что с ВН. Рассматриваем иные потенциальные причины.
-
@константин Моему приятелю 65,терапия полных 7 лет. Начало терапии CD 350, сейчас больше 1000, 37%.
3 года: Реатаз (без ритонавира)+лам+2 года-зидовудин, 3-й год абакавир, клетки совсем плохо росли,хорошо откладывался висцеральный жир и худели конечности.
4-й год: Эдюрант+Абак+лам или Тивикай+Абак+Лам(меняли из-за перебое)-клетки заметно пошли в рост,
в 5-м году 3 мес: (самолечение)Тивикай+лам-значительный рост в 1,5-почти 2 раза(% самый высокий за все время наблюдения), 1,5года-Тивикай+Эдюрант- незначительное(на 100-300) “снижение” клеток и %.
Сентябрь,октябрь 2019 вернулся на Тивикай+ламивудин. Контроль:середина декабря.
Наверное,если в декабре показатели на двойной(Тивикай+лам.) будут лучше,чем на других схемах, можно делать осторожное предположение о том,что и качество и количество таблеток “имеют значение”.
Реатаз, Тивикай, Эдюрант- оригиналы. -
Участник @константин написал в Снижение ИС с возрастом – есть ли данные об этом ?:
Последние три года неуклонно снижается ИС. В апреле было 301, в сентябре 254.
Может, латентный туберкулез “поселился”,у меня CD-4 в 2 раза снизились и % с 25 до 20 опустился, в то время диаскинтест показал наличие микобактерий, Т-спот окончательно убедил начать принимать Изониазид-клетки и % скромно увеличились. Пока курс лечения ЛТИ не закончил, не знаю пролечил окончательно и вырос ли ИС . Наверное и Вам нужно искать “болячку”.
-
Участник @николаевич написал в Снижение ИС с возрастом – есть ли данные об этом ?:
можно делать осторожное предположение о том,что и качество и количество
О более высокой иммунологической эффективности 3TC+DTG относительно тройных режимов. Не первый раз вижу такие примеры. Причина мне пока не ясна. Гипотетически можно предположить, что 2-ой НИОТ играет иммуносупрессивную роль. Насчет зидовудина это известно, за абакавир и тенофовир - не слышал.
искать болячку
Я бы сказал болячкИ и другие факторы, потенциально снижающие ИС, коих немало. От дефицита некоторых витаминов/микроэлементов до паразитов и инфекций.
-
Участник @константин написал в Снижение ИС с возрастом – есть ли данные об этом ?:
Есть ли сведения о том, что снижение ИС кроме всего прочего является и возрастным ?
Существуют ли данные или опыт и наблюдение инфекционистов по этому вопросу ?Возрастное угнетение костномозгового кроветворения, атрофия тимуса и снижение ИС - не секрет. Только скорее не для инфекционистов, а для иммунологов.
-
Участник @васьвась написал в Снижение ИС с возрастом – есть ли данные об этом ?:
иммунологической эффективности
А вы точно уверены, что знаете что это такое и говорите об этом в правильном контексте?
-
Участник @stuppy написал в Снижение ИС с возрастом – есть ли данные об этом ?:
А вы точно уверены, что знаете что это такое
А вы точно уверены, что задаете такие вопросы по правильному адресу, серьезно?
-
@васьвась в чем заключается иммунологическая эффективность препаратов, которые ингибируют перенос цепей интегразой, обратную транскрипцию и пр.?
-
Спасибо большое
Илья Антипин и все остальные
за ваши ответы.
Надеюсь эта тема будет актуальной и дальше.
Буду вникать и искать. -
Участник @stuppy написал в Снижение ИС с возрастом – есть ли данные об этом ?:
@васьвась в чем заключается иммунологическая эффективность
Вы этого не знаете или меня экзаменуете, хочу понять?)
-
@васьвась первично - вас, вторично - ну может не знаю чего, расширю кругозор, сайт, фактически, для этого и есть.
Что такое и как оценивать иммунологогическую эффективность в проиммунных процессах я примерно представляю и могу нагуглить. Например, иммунизация. А как об этом говорить для арвт или таблеток от кашля - не очень. Нить, конечно, выстраивается, но какая-то она длинная и не очень логичной кажется
-
Участник @stuppy написал в Снижение ИС с возрастом – есть ли данные об этом ?:
@васьвась первично - вас, вторично - ну может не знаю чего
Плохо. Потому что вы о себе слишком большого мнения, похоже.
“Может не знаю чего”. Мы все не знаем чего-то. И я не знаю многого. И никогда не узнаю все. И это не может, а точно.Ладно, начнем со вторичного. Сдавать кому-то незнакомому экзамен, точно нет мотивов и причин)
В разных исследованиях критерием иммунологического ответа служит прирост количества CD4 на 50 ,100 или 200 клеток .
Или превышение уровня CD4 порога в 200 или 500 клеток.
Под иммунологической неэфективностью подразумевается отсутствие значимого прироста CD4 клеток или снижение их кол-ва.Зависимость иммунологической эффективности от различных схем АРВТ замечена, но остается спорной, так как до конца неясны механизмы влияния и роль схем АРВТ на рост ИС. Но ясно, что эта роль вторична. Главным локомотивом роста ИС является собственная иммунная и кроветворные системы. Тем не менее влияние различных препаратов (не только АРВТ) на этот процесс интересно и подлежит , по моему мнению, дальнейшему изучению .
-
@васьвась У меня кстати по динамике сд вот так,начало 550-790(начало терапии калетра и зидолам)-900-(дтг таферо)-1600-(двойной)-1319-сейчас 824.До дтг процент был 31-32,с дтг 42 стабильно.То есть и 1600 и 1319 и сейчас при бер 825,а процент всё равно 42 .При беременности сменила дтг на рал (не достаточно было данных по дтг ещё)и плюс тенофовир,вот в декабре сдам ещё раз,хотя при беременности какие-то выводы по динамике и схемам делать сложно.
-
@васьвась Да он профессор просто,и фоб заблудившийся похоже)) ,мне писал что я не знаю что такое блот😁))
-
Участник @stuppy написал в Снижение ИС с возрастом – есть ли данные об этом ?:
. А как об этом говорить для арвт или таблеток от кашля - не очень.
Противокашлевые не замечены в генерировании этих процессов, а вот кое-какие гормоны и интерлейкины - да. Еще лет 7 назад подумывал Ронколейкином вмазаться)
-
Участник @maro написал в Снижение ИС с возрастом – есть ли данные об этом ?:
начало 550-790(начало терапии калетра и зидолам)-900-(дтг таферо)-1600-(двойной)-1319-сейчас 824.До дтг процент был 31-32,с дтг 42 стабильно.То есть и 1600 и 1319 и сейчас при бер 825,а процент всё равно 42
Не первый раз вижу такие примеры
Еще один, показательный.
С беременностью все понятно. Я читал, что организм сам подавляет иммунитет, чтобы не было отторжения эмбриона. Так как он по сути - генетически на половину чужеродный имплантат в теле беременной.
-
Это сообщение удалено!
-
@васьвась Ну да ,только если судить по нашим клеткам,абсолютное количество упало,а процент на месте.Что говорит о том что по сути они все упали,а в процентном соотношении осталась норма.
-
@ladymusik63 Почти три года.